ニューロンと過学習の割合を観察する
検証内容
アルゴリズムと過学習の関係をざっくり記載する。
設定は以下の感じ
img_size = 8 n_mid = 32 n_out = 10 eta = 0.001 epochs = 301 batch_size = 32 interval = 10
因みにCNNの特徴抽出はせず、あくまでニューロンでの判定のみで行う。
中間層ニューロンを 32 個、バッチサイズ 32 で、エポック 301 回。
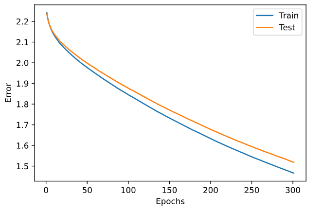
単純にニューロン食わして処理するとこんな感じ。

時間経過で誤差が広がる(過学習)が起きてるというよりは、単純にこのアルゴリズムでは精度が上がらないという事かもしれない。
AdaGrad アルゴリズムを適用するとこんな感じ

学習係数に圧がかかってくるので、学習自体が遅くなる。
それによって学習が収束するのがかなり遅くなり、300 回程度では良い結果にならなかった。
ドロップ層を追加したのかこんな感じ

ニューロンの学習が確立的になるので、学習が微妙にガクガクする。
AdaGrad を使うべきかどうかは状況によるのかもしれない。
両方適用するなら、学習回数を更に増やす必要がありそう。

検証ソース
import numpy as np import matplotlib.pyplot as plt # System settings img_size = 8 n_mid = 32 n_out = 10 eta = 0.001 epochs = 301 batch_size = 32 interval = 10 # Source data from sklearn import datasets from sklearn.model_selection import train_test_split digits_data = datasets.load_digits() # Data standardarise input_data = np.asarray(digits_data.data) input_data = (input_data - np.average(input_data)) / np.std(input_data) # create correct data correct = np.asarray(digits_data.target) # to one-hot correct result correct_data = np.zeros((len(correct), n_out)) for i in range(len(correct)): correct_data[i, correct[i]] = 1 # Split train and test datas. X_train, X_test, t_train, t_test = train_test_split(input_data, correct_data) def relu(u): return np.where(u <= 0, 0, u) def differential_relu(u, y, t): return t * np.where(u <= 0, 0, 1) def softmax(u): return np.exp(u)/np.sum(np.exp(u), axis=1, keepdims=True) def differential_softmax(u, y, t): return y - t class BaseLayer: def forward(self, x): return x def backward(self, grad_y): return grad_y def update(self, eta): pass class Dropout(BaseLayer): def __init__(self, dropout_rate): self.dropout_rate = dropout_rate def forward(self, x, is_train=True): if is_train: rand = np.random.rand(*x.shape) self.dropout = np.where(rand > self.dropout_rate, 1, 0) self.y = x * self.dropout else: self.y = (1 - self.dropout_rate) * x return self.y def backward(self, grad_y): self.grad_x = grad_y * self.dropout return self.grad_x class CommonLayer(BaseLayer): def __init__(self, n_upper, n, activation_func, differential_func): self.w = np.random.randn(n_upper, n) * np.sqrt(2 / n_upper) self.b = np.zeros(n) self.activation_func = activation_func self.differential_func = differential_func def forward(self, x): self.x = x self.u = np.dot(x, self.w) + self.b self.y = self.activation_func(self.u) return self.y def backward(self, grad_y): delta = self.differential_func(self.u, self.y, grad_y) self.grad_w = np.dot(self.x.T, delta) self.grad_b = np.sum(delta, axis=0) self.grad_x = np.dot(delta, self.w.T) return self.grad_x def update(self, eta): self.w -= eta * self.grad_w self.b -= eta * self.grad_b class AdaLayer(CommonLayer): def __init__(self, n_upper, n, activation_func, differential_func): super().__init__(n_upper, n, activation_func, differential_func) self.h_w = np.zeros((n_upper, n)) + 1e-8 self.h_b = np.zeros((n)) + 1e-8 def update(self, eta): self.h_w += (self.grad_w * self.grad_w) self.h_b += (self.grad_b * self.grad_b) self.w -= eta / np.sqrt(self.h_w) * self.grad_w self.b -= eta / np.sqrt(self.h_b) * self.grad_b class MiddleLayer(CommonLayer): def __init__(self, n_upper, n): super().__init__(n_upper, n, relu, differential_relu) class OutputLayer(CommonLayer): def __init__(self, n_upper, n): super().__init__(n_upper, n, softmax, differential_softmax) # Define layers and functions. layers = [ MiddleLayer(img_size*img_size, n_mid), MiddleLayer(n_mid, n_mid), #Dropout(0.5), #MiddleLayer(n_mid, n_mid), #Dropout(0.5), OutputLayer(n_mid, n_out) ] def forward(x): for layer in layers: x = layer.forward(x) return x def backward(t): grad_y = t for layer in reversed(layers): grad_y = layer.backward(grad_y) return grad_y def update_grad(): for layer in layers: layer.update(eta) def calc_error(x, t): y = forward(x) return -np.sum(t * np.log(y + 1e-7)) / len(y) def calc_accuracy(x, t): y = forward(x) count = np.sum(np.argmax(y, axis=1) == np.argmax(t, axis=1)) return count / len(y) # container for errors error_record_train = [] error_record_test = [] n_batch = len(X_train) for i in range(epochs): # random data gets. index_random = np.arange(len(X_train)) np.random.shuffle(index_random) for j in range(n_batch): # get mini-batch mb_index = index_random[j*batch_size : (j+1)*batch_size] x_mb = X_train[mb_index, :] t_mb = t_train[mb_index, :] # forward and backword forward(x_mb) backward(t_mb) # parameter update update_grad() # get calc errors. error_train = calc_error(X_train, t_train) error_record_train.append(error_train) error_test = calc_error(X_test, t_test) error_record_test.append(error_test) # output error rate par inteval if i % interval == 0: print(f'Epoch: {i+1}/{epochs}, Error_train: {error_train}, Error_test: {error_test}') plt.plot(range(1, len(error_record_train) + 1), error_record_train, label="Train") plt.plot(range(1, len(error_record_test) + 1), error_record_test, label="Test") plt.legend() plt.xlabel("Epochs") plt.ylabel("Error") plt.show() # calc accuracy acc_train = calc_accuracy(X_train, t_train) acc_test = calc_accuracy(X_test, t_test) print(f"Acc_train: {acc_train * 100}%, Acc_test: {acc_test * 100}%")